应用介绍
软件介绍
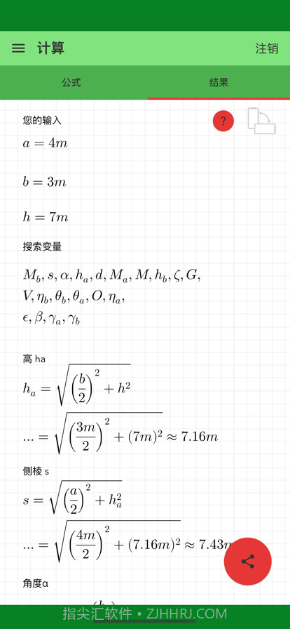
金字塔计算器真的是我最近发现的一个宝藏应用,特别适合像我这种数学不太好的学生和工程师。它能快速帮你计算复杂图形的面积和体积,简直是做作业和工作中的救星。界面设计得很简洁,上手也超快,几分钟就能搞定基本操作。对于那些需要频繁进行几何计算的人来说,绝对能提升效率,节省不少时间。
软件特色
数学学习辅助区
精准的运算能力让人放心,不用担心出错
界面非常友好,操作起来毫无压力
教育类应用推荐
效率工具板块
使用指南
学习难度
新手上手非常容易,只需短短几分钟就能掌握基本功能。建议先从简单的图形开始尝试,慢慢熟悉各种运算方式。
使用技巧
• 避免一次输入过多信息,以免造成混淆
• 在使用时可以先确认输入数据的准确性,这样输出结果会更加精准
常见问题
• 有时候可能会因为系统兼容性问题导致崩溃,可以重启试试
• 新手常常不太会处理输入数据的问题,可以参考帮助文档
• 如果遇到计算结果不对,建议仔细检查每一步输入
相关推荐
软件截图
历史版本
v1.9
当前版本
40.74MB
2025-07-17






